1、什么是振动?
答:物体或质点相对于平衡位置所作的往复运动叫振动。
2、描述振动主要有几个参数,它们相互关系如何?
答:描述振动的主要参数有:振幅、速度、加速度。单频正弦振动频率为f时,振幅单峰值为D,则其速度单峰值为,加速度单峰值为。
3、加速度的单位如何表示?
答:加速度在振动工程界常用g表示,在国际单位(SI)中用的单位是,读米每秒平方,在我国通常1g=9.80665。
4、压电加速度计的工作原理是什么?
答:压电加速度计是利用压电晶体的正电压效应工作的,即压电晶体片受到外力的作用而变形时,内部会产生极化现象,并在其表面产生电荷,当外力去掉后又恢复原状。压电晶体和质量块通过弹簧紧压在一起安装在盒形金属壳内,就组成了压电加速度计。
当加速度计受到振动或冲击时,由于惯性的作用,质量块将产生一个与其受到的振动。冲击成比例的惯性力而作用在压电晶体上。通过测量晶体上的电荷变化,可测得这个惯性力,通过这个惯性力就可测得振动和冲击的加速度值。这就是压电加速度计的基本工作原理。
5、就振动传感器的自振频率和阻尼系数而言,位移、速度、加速度、传感器各自工作在其自振频率(传感器固有谐频)的什么区域?其阻尼系数的大小如何?
答:对一般惯性传感器而言,加速度计的工作区域为从极低频到小于其自振频率以下,位移传感器的工作区间为自振频率以上到很高的频率,而速度计则工作在自振频率附近。
加速度计和位移计的阻尼系数一般都小于1,而速度计的阻尼系数却大于1。这样使用的目的都是为保证在工作频率范围内幅频特性和相频特性都是平直的,可以不失真地测量相应的振动量值。
6、在加速度计的质量不可忽略时,应如何考虑加速度计所测得的加速度值?
答:一般来说被测的物体附加上加速度计后,加速度计测得的加速度值要小于没有附加加速度计时的值:
ar =as×ms/(ms+ma)
式中:ar——带加速度计时测得的加速度值。
as——无加速度计时的结构的加速度值。
ms——结构“部件”的质量
ma——加速度计的质量。
在特殊情况下,由于加速度计的安装引起了构件的共振,这时,加速度测量值就要大大超过预计的值,应当考虑换另外型号的加速度计或另想其他办法。
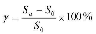
7、什么是压电加速度计的幅值线性度?检定加速度计的幅值线性度的目的是什么?
答:在压电加速度计的使用范围内(如极限加速度范围内),不同加速度时,传感器的灵敏度相对于参考灵敏度的偏差和参考灵敏度的比值,为加速度计的幅值线性度。用公式表示是:

式中:γ——幅值线性度。
Sa——在加速度为某值时的灵敏度。
S0——参考灵敏度。
检定加速度计的幅值线性度的目的是为了确定加速度计的动态使用范围,例如规程规定,用于振动、冲击测量时,其幅值线性度应分别小于±5%和±10%而标准压电加速度计则应小于±3%。
8、工作压电加速度计的加速度参考灵敏度的定义是什么?
答:工作加速度计参考灵敏度的定义是在一套规定的条件下(振幅、频率、温度、总电容、放大器输入电阻、安装力矩等)工作加速度计的电输出与它安装面所承受的加速度之比。
9、什么是安装刚度?它在振动、冲击测量中有何影响?
答:为了测量物体的振动,必须将接触式振动传感器接触或安装到被测物体上,任何安装方式都是弹性连接的,如果传感器和被测物体完全联在一起,形成一体,这就是物理学中所说的成为一个刚体了。这时,安装刚度很大很大,弹性很小很小,这就是安装刚度的概念。
实际安装时,安装刚度不可能无限大,则传感器的质量与安装的弹性组成了一个弹簧—质量系统。如果这个系统的谐振频率很小,则传感器测出的振动就不但有被测物体的振动,还有传感器—安装弹簧系统的振动,总而言之,传感器—安装弹簧共振的话,失真就非常大了。
如压电加速度计有以下几种典型安装方式:手持接触,橡皮泥安装、蜡粘结、磁铁吸附安装,502胶粘结,绝缘螺钉安装、钢制螺钉安装等。显然按这些顺序排列的安装方式,其安装谐振频率越来越高,即安装弹性越来越小,安装刚度越来越大。
10、某工厂生产的压电加速度计在出厂检验证中有一张频率特性曲线,曲线是从200Hz到35kHz,请说明该加速度计在200Hz以下能用吗?
答:200Hz以下可以使用,因为加速度计的频率响应从几百赫以下都是平直的,一般可延伸到十赫左右,再往下,就要考查放大器的特性是否合适。如放大器比较好,0.5dB下限频率可以到1Hz以下。出厂时只给出200Hz的起点,是频响装置所限,而不是传感器的原因。
11、举出输出电量正比于加速度、速度和位移的传感器。
答:输出电量正比于加速度的传感器有:压电加速度计,伺服加速度计,应变式加速度计。
输出电量正比于速度的传感器有:电磁传感器、速度传感器、地震仪。
输出电量正比于位移的传感器有:涡流传感器、电容传感器、差动变压器传感器、光纤位移传感器、激光干涉议。
12、什么叫传感器的横向灵敏度和横向灵敏度比?
答:对单轴向传感器来说,横向灵敏度是指在承受横向振动时,传感器的电输出与输入振动量之比,它是频率和传感器横向面位置的函数。
横向灵敏度比表示为横向灵敏度的最大值与该传感器轴向灵敏度的比值,以百分数表示。其公式是
Sr = St / So × 100%
其中:Sr——横向灵敏度比
St——横向灵敏度
So——轴向灵敏度
13、常用的机械式振动台和电动式振动台在激振原理方面有什么不同?其主要特点是什么?
答:机械式振动台是由偏心质量在转动时产生的惯性力或由偏心连杆在运动时产生的偏心距来激振的。其主要特点是振动频率低,频带窄、波形失真大、无漏磁、幅度调节不方便,很难自动扫频。
电动式振动台是通过载流导体在磁场中产生电动力的原理来激振的。其主要特点是下限频率较高,频带宽,波形失真小,幅度调节和频率调节都很方便,有的还可以自动扫频,但台面往往有漏磁,成本较高。
14、什么是振动台的交越频率?同样推力的振动台,交越频率低意味着什么?
答:在振动环境试验中,交越频率是指振动特征量由一种关系变为另一种关系的频率点。例如由等位移—频率关系变为等速度—频率关系时,就有一个交越频率。
推力相同,交越频率低,意味着承载能力大或位移幅值大;或者意味着频带范围宽。因此同样的推力,交越频率低,意味着台子的性能优越。
15、试述电动振动台气隙的作用?
答:电动振动台的不动部分如磁铁,励磁、线圈或磁铁的磁缸和可动部分例如动圈、悬挂弹簧及台面,是靠气隙互相耦合的,气隙虽小,却起很重要的作用,它把电气系统和机械系统耦合起来了。
气隙过小,易造成摩擦损坏且波形不好,这是不允许的;气隙过大则电气耦合弱,电—机转换效率低。因此要求气隙干净、干燥,如果是压缩空气的话,还要求气流稳定,否则会产生噪声、漂移、窜动或波形失真。
16、什么是振动台的低频窜扰?其产生的主要原因是什么?
答:振动台低频窜扰的是指在规定的振动波形上,叠加着一个低频大振幅的振动现象。
形成低频窜扰的原因很多,主要由机械导向,传动部分的干摩擦和机械台的传动皮带轮引起的共振造成的。电动台有时会由于50Hz的干扰引起窜扰。所以增加机械台的润滑,保持电动台的气隙洁净,减少各种机械传动干扰和50Hz电源干扰。一般可以消除低频窜扰。
17、使用凸轮式碰撞台的主要要点有哪些?
答:(1) 根据试验要求,按有关标准选择严酷等级和安装试件。
(2) 对于二侧加垫层的碰撞台,其缓冲垫层必须按标定时的严酷等级所要求的顺序排列,且二侧一一对应。
(3) 碰撞台在使用中改变严酷等级,更换垫层和停用时,必须注意安全,工作结束后必须使碰撞台面与缓冲垫层脱离接触,为避免垫层长期受压而改变其特性。
18、电动振动台的活动系统质量应如何测定?
答:保持振动台的推力不变,分别测出空载和加载时的加速度值,就可确定振动台活动系统的质量。
19、什么叫转速?
答:在工程技术上把作圆周运动的物体在单位时间内转过的圈数叫作转速。
20、什么叫平均角速度?
答:作圆周运动的物体在单位时间内经过的角位移叫作平均角速度(单位)。
21、转速的单位名称及符号是什么?
答:转速的单位名称是:转每分,单位符号是:r/min
22、手持式转速表在检定时其转轴上的测头应与标准转速装置转轴保持什么样的位置?
答:手持式转速表的转轴测头应与标准转速装置转轴的接触在同一轴线上,且无滑动现象。
23、定时式转速表的工作原理是什么?
答:定时式转速表是按照在一定的时间间隔内测量旋转体转数的方法确定转速平均值,并由指针在表盘上直接指示被测转速值。为了测定时间间隔,在定时转速表上装有定时机构,定时转速表由此得名。
24、试写出离心式转速表指针摆幅率的计算式,并写明式中各符号的意义。测试指针摆幅率的意义是什么?
答:计算公式为:
β = (n幅 / N) ×100%
式中:n幅——同一检定点每次测定的指针摆幅值(r/min)
N——被检表相应量限的上限值(r/min)。
测试摆幅率的意义在于检查被测仪表的安装状况(固定式转速表)或被检表与标准转速装置的接触状况和被测转速表的内部零件紧固状况。无论是安装、接触状况不好,还是内部有故障,摆幅率都会超差。在摆幅率合格后,方可进行其他各项检定。
25、离心式转速表的原理是什么?
答:离心式转速表是利用物体旋转时产生的离心力来测量转速的。当离心式转速表的转轴随被测物体转动时,离心器上的重物在惯性离心力作用下离开轴心,并通过传动系统带动指针回转。当指针上的弹簧反作用力矩和惯性离心力矩相平衡时,指针停止在偏转后所指示的刻度值处,即为被测转速值。这就是离心式转速表的原理。
26、离心式转速表和定时式转速表各有何有缺点?
答:离心式转速表是根据旋转时产生离心力的原理做成的,结构简单,使用方便,但是由于转速和离心力的非线性,使这种表存在着方法误差、工艺上的误差,因而其精度影响也大。
定时式转速表是在时间间隔内测量旋转体转数,再确定转速平均值,因此这种表精度较高,体积较小,较轻便。
二者是机械式转速表,精度都不是很高,但是价格便宜,使用方便。
这种转速表都是接触式测量,不能进行非接触式测量。
27、试述磁感应式转速表的测转速原理。
答:磁感应式转速表是根据磁感应原理制成的。磁感应式转速表的表轴上永磁体转动,就形成了旋转的磁场。在此磁场内的敏感元件由于磁场的旋转而切割磁力线,并产生感应电流,这一电流与永磁体相互作用而产生力矩(即涡流电磁力矩),此力矩和表头上装的游丝反作用力矩相平衡时,转速表表盘上的指针就指出了此时的被测转速值。这就是磁感应转速表测量转速的原理。
28、试简述频闪转速的原理?
答:频闪测转速,是基于频闪效应原理的。所谓频闪效应就是物体在人的视觉中消失后,人的眼睛能保留一定时间的视觉印象(视后效)的现象。视后效的持续时间,在物体一般光度的条件下约1/15-1/20S的范围内。若来自被观察物体的刺激信号是一个跟着一个断续的,每次都少于1/20S,则视觉印象来不及消失,从而给人以连续而固定的假象。
若用一闪一闪的光照明旋转圆盘,在盘上偏离圆心的位置做以明显的记号,则当闪光的闪次/分与旋转圆盘的转速相等时,圆盘上的记号即呈现停止状态。若闪次/分为已知,则可测定圆盘的转速。
29、闪频法测转速的计算公式是什么?请说明公式中各符号的意义。
答:闪频法测转速的计算公式是
n = kn0
式中:n0——闪频灯的闪光次数。
n——待测转速。
k——为闪频象停留序数,它是两次闪光间被测物转过的圈数,实际上是旋转物体转速比闪光次数高的倍数,通常选k=1,mz共同称为当频闪象停留时在闪频盘上出现的频闪点数,而其中z是频闪盘上贴的标记数,m是闪光频率超过转速的倍数。也就是说贴的标记越多,闪光频率越高,频闪盘上的频闪点数就多。
转速高于闪光频率k倍,将形成单定象,闪光频率比转速高m倍时,将形成m重象。
30、电子计数式转速表的精度等级是怎么划分的?
答:电子计数式转速表的等级是百分误差表示的,按1-2-5序列分等。其主要技术指标有四个,即示值误差,示值变动性,计数器时基准确度,计数器4小时时基稳定度。
等级划分如下(%):
0.01,0.02,0.05,0.1,0.2,0.5,1。
示值误差指标是(设等级为A);
±A%×n±1个字。
示值变动性指标是(设等级为A);
±A%×n±2个字。
计数器时基准确度和4小时时基稳定度指标是:
0.01级均为;0.02级均为;0.05级均为0.1级以下的转速表对此二项不作要求。
31、试简述电子计数转速表的时基稳定度的检定方法,并给出时基稳定度计算公式?
答:电子计数式转速表时基稳定度可用二种方式检定,一种是用标准频率源送信号给表,一种是用标准频率计检表内的晶体振荡器。
无论哪种方式都是开机后预热半小时以上,读取个数值,然后每隔半小时测量一次,每次读取一个显示值,连续测量4小时,读取九个显示值。表的时基准确度计算如下:

式中:
Sf——时基稳定度;
fmax、fmin——4小时内读数的最大显示值和最小显示值;
f0——或者是标准频率的读数;或者是表内晶体振荡器的读数。
32、何谓测频法?简述其工作原理。
答:测频法,在转速测量计量中是指用测量频率的方法去测量转速。
用接触或非接触的方法做成的转速传感器取来转速信号,将其送入频率计数器,而频率计数器给出标准时间间隔,例如0.1,1,2,6,10,30,60s等等,在此时间间隔内由频率计数器记下传感器送入的脉冲数,即测出了旋转的频率。而转速和旋转频率的关系是:n=60×f
因此转速通过测量频率的方法可以获得。
电子计数式转速表测出了频率,直接就转换成了转速(r/min)。